Υ.Α. 15540/548/Ε103/2012 (ΦΕΚ 945/Β` 27.3.2012)
Αντικαταστάθηκε από την :
- Υ.Α. 42666/1345/Ε103/2013, (ΦΕΚ 1879/Β/1.8.2013) «Τροποποίηση του παραρτήματος ΙΙ του άρθρου 18 του π.δ. 116/2004 (81/Α) και αντικατάσταση της υπ’ αριθμ. 15540/548/2012 κοινής υπουργικής απόφασης (945/Β), σε συμμόρφωση με τις διατάξεις της οδηγίας 2013/28/ΕΕ «για την τροποποίηση του παραρτήματος ΙΙ της οδηγίας 2000/53/ΕΚ του Ευρωπαϊκού Κοινοβουλίου και του Συμβουλίου για τα οχήματα στο τέλος του κύκλου ζωής τους»»
| Συνημμένο | Μέγεθος |
|---|---|
| ΦΕΚ 945Β_12 | 339.89 KB |
1. Tις διατάξεις του άρθρου 2 του Ν. 2077/1992 «Κύρωση Συνθήκης για την Ευρωπαϊκή Ένωση» (Α΄ 136) και τις διατάξεις των άρθρων 1 και 2 (παρ. 1ζ) του Ν. 1338/1983 «Εφαρμογή του Κοινοτικού Δικαίου» (Α΄ 34) όπως τροποποιήθηκε με το άρθρο 6 του Ν. 1440/1986 «Συμμετοχή της Ελλάδας στο κεφάλαιο, στα αποθεματικά και στις προβλέψεις της Ευρωπαϊκής Τράπεζας Επενδύσεων κ.λπ. (Α΄ 70) και του άρθρου 65 του Ν. 1892/1990 (Α΄ 101).
2. Τις διατάξεις της παραγράφου 4 του άρθρου 17 του Ν. 2939/2001 «Συσκευασίες και εναλλακτική διαχείριση των συσκευασιών και άλλων προϊόντων − Ίδρυση Εθνικού Οργανισμού Εναλλακτικής Διαχείρισης Συσκευασιών και Άλλων Προϊόντων (Ε.Ο.Ε.Δ.Σ.Α.Π.) και άλλες διατάξεις» (Α΄ 179), όπως τροποποιήθηκε με τις διατάξεις της παραγράφου 2 του άρθρου 5 του Ν. 3854/2010 (Α΄ 94).
3. Τις διατάξεις του άρθρου 18 του π.δ. 116/2004 «Μέτρα, όροι και πρόγραμμα για την εναλλακτική διαχείριση των οχημάτων στο τέλος του κύκλου ζωής τους σε συμμόρφωση με τις διατάξεις της οδηγίας 2000/53/ΕΚ κ.λπ.» (Α΄ 81).
4. Τις διατάξεις της οδηγίας 2011/37/ΕΚ του Ευρωπαϊκού Κοινοβουλίου και του Συμβουλίου της 11ης Μαρτίου 2008.
5. Tην υπ’ αριθμ. 2876/2009 απόφαση του Πρωθυπουργού «Αλλαγή τίτλου Υπουργείων» (Β΄ 2234).
6. Τις διατάξεις του άρθρου 6 του Π.Δ. 189/2009 «Καθορισμός και ανακατανομή των αρμοδιοτήτων των Υπουργείων» (Α΄221).
7. Τις διατάξεις του άρθρου 2 (παρ. 4) του Π.Δ. 24/2010 «Ανακαθορισμός των αρμοδιοτήτων των Υπουργείων και τροποποίηση του Π.Δ. 189/2009» (Α΄ 56).
8. Τις διατάξεις του Π.Δ. 65/2011 «Διάσπαση του Υπουργείου Εσωτερικών, Αποκέντρωση και Ηλεκτρονικής Διακυβέρνησης στα Υπουργεία α) Εσωτερικών και β) Διοικητικής Μεταρρύθμισης και Ηλεκτρονικής Διακυβέρνησης, συγχώνευση των Υπουργείων Οικονομίας, Ανταγωνιστικότητας στο Υπουργείο Ανάπτυξης, Ανταγωνιστικότητας και Ναυτιλίας κ.λπ.» (Α΄ 147).
9. Την εισήγηση του ΕΟΕΔΣΑΠ με α.π. οικ. 799/22−12−2011 για την έκδοση της παρούσας κοινής υπουργικής απόφασης (α.π. ΔΠΣ 135176/3032/22−12−2011).
10. Το γεγονός ότι από τις διατάξεις της απόφασης αυτής δεν προκαλείται δαπάνη σε βάρος του Κρατικού Προϋπολογισμού, αποφασίζουμε:
Με την παρούσα απόφαση αποσκοπείται η τροποποίηση του π.δ. 116/2004, κατ’ εφαρμογή της παραγράφου 4 του άρθρου 17 του Ν. 2939/2001 (Α΄ 179), όπως τροποποιήθηκε με την παράγραφο 2 του άρθρου 5 του Ν. 3854/2010 (Α΄ 94), με την αντικατάσταση του παραρτήματος ΙΙ του άρθρου 18 αυτού, σε συμμόρφωση με τις διατάξεις της οδηγίας 2011/37/ΕΚ της Ευρωπαϊκής Επιτροπής «για την τροποποίηση του παραρτήματος ΙΙ της οδηγίας 2000/35/ΕΚ του Ευρωπαϊκού Κοινοβουλίου και του Συμβουλίου για τα οχήματα στο τέλος του κύκλου ζωής τους», που έχει δημοσιευθεί στην Ελληνική γλώσσα στην Επίσημη Εφημερίδα των Ευρωπαϊκών Κοινοτήτων (ΕΕL 85/3/2011).
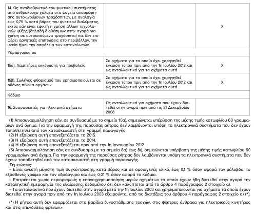
Για τους σκοπούς της παρούσας απόφασης το νέο παράρτημα ΙΙ του άρθρου 18 του ως άνω Προεδρικού διατάγματος περιλαμβάνεται στο άρθρο 2 της παρούσας απόφασης.
Το παράρτημα ΙΙ του άρθρου 18 του π.δ. 116/2004, αντικαθίσταται από το παράρτημα που ακολουθεί:



Η ισχύς της παρούσας απόφασης αρχίζει από τη δημοσίευσή της στην Εφημερίδα της Κυβερνήσεως.
Η απόφαση αυτή να δημοσιευθεί στην Εφημερίδα της Κυβερνήσεως.
Αθήνα, 27 Μαρτίου 2012
ΟΙ ΥΠΟΥΡΓΟΙ
|
ΑΝΑΠΤΥΞΗΣ, ΑΝΤΑΓΩΝΙΣΤΙΚΟΤΗΤΑΣ ΚΑΙ ΝΑΥΤΙΛΙΑΣ ΑΝΝΑ ΔΙΑΜΑΝΤΟΠΟΥΛΟΥ |
ΠΕΡΙΒΑΛΛΟΝΤΟΣ, ΕΝΕΡΓΕΙΑΣ ΓΕΩΡΓΙΟΣ ΠΑΠΑΚΩΝΣΤΑΝΤΙΝΟΥ |